分类:IOFactor微扰计算

来自Big Physics


IOFactor的定义是在投入产出矩阵[math]\displaystyle{ A }[/math]中去掉第[math]\displaystyle{ k }[/math]行和第[math]\displaystyle{ k }[/math]列得到[math]\displaystyle{ A^{\left(-k\right)} }[/math],然后计算本征值和本征向量。每次重新开始计算本征值和本征向量比较耗资源。另外,还想从理论上看一下这个因子和PageRank等其他广义投入产出分析的指标的关系。于是,我们尝试了微扰计算。

[math]\displaystyle{ A^{\left(-k\right)}=A-\left|k\right\rangle\left\langle k \right|A-A\left|k\right\rangle\left\langle k \right| + \left|k\right\rangle\left\langle k \right|A\left|k\right\rangle\left\langle k \right| }[/math] 也就是 [math]\displaystyle{ \Delta A = -\left|k\right\rangle\left\langle k \right|A-A\left|k\right\rangle\left\langle k \right| + \left|k\right\rangle\left\langle k \right|A\left|k\right\rangle\left\langle k \right| }[/math]

[math]\displaystyle{ \left\langle v \right| }[/math][math]\displaystyle{ \left|u\right\rangle }[/math]分别是[math]\displaystyle{ A }[/math]的本征值为[math]\displaystyle{ \lambda }[/math]的左右本征向量。

[math]\displaystyle{ A^{\left(-k\right)}(|u\rangle+|\Delta u\rangle) = (\lambda + \Delta\lambda) (|u\rangle+|\Delta u\rangle) }[/math]

去掉k行k列后[math]\displaystyle{ \langle k|\Delta u\rangle=0 }[/math],可以将[math]\displaystyle{ |\Delta u\rangle=|u\rangle + |\delta\rangle - u_k|k\rangle }[/math]

左乘[math]\displaystyle{ \langle v| }[/math],忽略2阶小量([math]\displaystyle{ |\delta\rangle }[/math][math]\displaystyle{ \Delta A }[/math]都是小量,因此它们的乘积项就是高级小量),整理得到

[math]\displaystyle{ \Delta\lambda = \left(\langle v|\Delta A|u\rangle -\langle v|\Delta A|k\rangle \langle k|u\rangle\right)/(\langle v|u\rangle-\langle v|k\rangle\langle k|u\rangle) }[/math]

给定[math]\displaystyle{ \Delta A = -\left|k\right\rangle\left\langle k \right|A-A\left|k\right\rangle\left\langle k \right| + \left|k\right\rangle\left\langle k \right|A\left|k\right\rangle\left\langle k \right| }[/math] ,于是有

[math]\displaystyle{ \langle v|\Delta A|u\rangle=-v_{k}u^{k}-v_{k}u^{k} + v_{k}A^{k}_{k}u^{k} }[/math]

[math]\displaystyle{ \langle v|\Delta A|k\rangle \langle k|u\rangle=-v_ku^k }[/math]

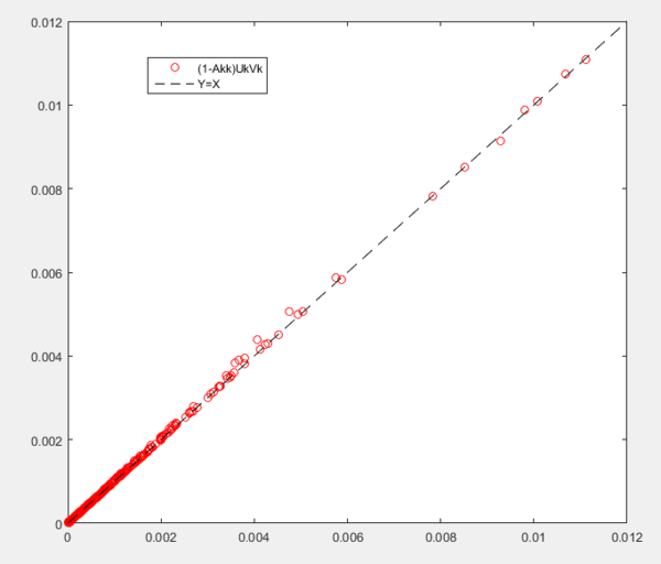
[math]\displaystyle{ IOF_k = -\Delta\lambda =(1-A^k_k)v_ku^k/(\langle v|u\rangle - v_ku^k) }[/math]


数值上的检验结果如下:

当取[math]\displaystyle{ \lambda=1 }[/math]为最大本征值的时候,

IOF matrix perturbation.png

微扰计算的应用

在需要多次来做这个IOF_k的计算和比较的时候,可以考虑不去求解本征值方程而直接通过这个微扰公式来计算

下一步工作

把本征矢量的微扰也算出来,数值检验一下

本分类目前不含有任何页面或媒体文件。